⚠ Switch to EXCALIDRAW VIEW in the MORE OPTIONS menu of this document. ⚠

Text Elements

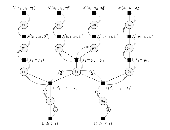
Factor graph

True Skill *

  • TrueSkill A Bayesian Skill Rating System; Ralf Herbrich, Tom Minka, Thore Graepel; Microsoft Research

Factor graph dla TrueSkill

Do policzenia posterior używamy:

  • algorytm “Sum-product message passing”
  • algorytm “Expectation Propagation” (do aproksymacji)

Super wprowadzenie: gaussianbp.github.io

Web-scale bayesian click-through rate prediction for sponsored search advertising; Thore Graepel, Joaquin Quiñonero Candela, Thomas Borchert, Ralf Herbrich; Microsoft Research

Co to ma do CTRa?

Online Bayesian Probit Regression (OBPR)

Model liniowy:

  • przewidujemy p-stwo klika (CTR)
  • działa w
    • mailingu CPC
    • w retargeting ROAS

Zalety:

  • liniowy, więc szybki
  • uczymy go online
  • bayesowski, tzn. na wyjściu mamy rozkład prawdopodobieństwa

Embedded files

613cbe238355f9d057cee8466b70ce1fdcc51241: f4589945fec056609bfee36f90ed9964fa6305ca: Pasted Image 20250709144021_597.png 284753fd6f480e52168d58e8c23facc193d09cfd: Pasted Image 20250709144021_613.png