Online Bayesian Probit Regression
trochę teorii
Factor graph
::: block
TrueSkill
::: block (TrueSkill A Bayesian Skill Rating System; Ralf Herbrich, Tom Minka, Thore Graepel; Microsoft Research)
::: block
Skill gracza :
Performance gracza :
Performance drużyny :
- kto wygrał
- podział na drużyny
Cel
Estymowacja skilli graczy.
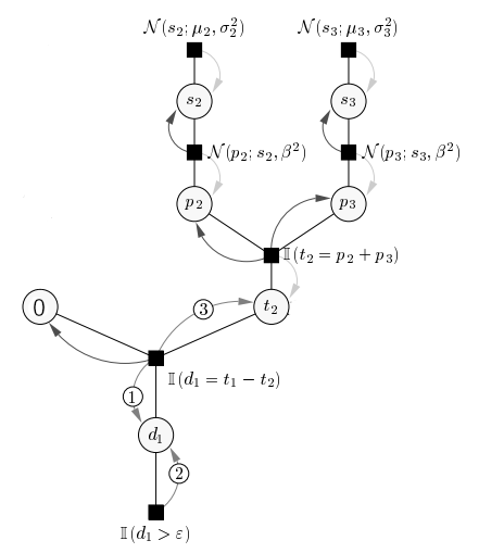
Factor graph dla TrueSkill
::: block
Weźmy 3 drużyny. Podział na drużyny : drużyna nr 1 ma tylko gracza nr 1, drużyna nr 2 ma graczy 2 i 3, drużyna nr 3 ma tylko gracza 4. - kto wygrał.
$$ \cdot \mathcal{N}(s_2;\mu_2,\sigma_2^2) \cdot \mathcal{N}(p_2; s_2,\beta^2) \cdot \mathcal{N}(s_3; \mu_3, \sigma_3^2) \cdot \mathbb{1}[t_1 = p_1] $$
$$ \ldots $$
Factor graph dla TrueSkill

Posterior
::: block
Celem jest policzenie posteriora:
Do tego używamy:
- algorytm “Sum-product message passing”
- algorytm “Expectation Propagation” (do aproksymacji)
Super wprowadzenie: gaussianbp.github.io
Co to ma do CTRa?
::: block = “slot == 007”; = “średni CTR usera < 0.1”
.png)
Jak wygląda realnie predykcja?

CatBoost + OBPR
Deep Learning + OBPR
Co wstawić w miejsce ”?”
::: block
- twarde ?
-
LSH ?
-
losowanie z rozkładu BinConcrete1 (Gumbel-Max Trick), backpropagacja z wykorzystaniem wartości oczekiwanej funkcji straty, zmniejszanie temperatury wraz z trenowaniem tak, żeby w granicy wartości podawane do OBPR były binarne
::: block
Koniec
Footnotes
-
The Concrete Distribution: A continuous relaxation of discrete random variables https://arxiv.org/pdf/1611.00712 ↩