Factor graph w ogólności to graf dwudzielny, który ma dwa typy wierzchołków - reprezentujące zmienne (zazwyczaj kółka) oraz reprezentujące funkcje (zazwyczaj czarne kwadraty). Kwadrat X jest połączony z kółkiem Y gdy funkcja X przyjmuje na wejściu zmienną Y. Przykład funkcji i factor grafu: Źródło: Factor graphs and the sum-product algorithm.

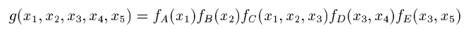
Factor graph to jest sposób zapisu wzoru na wyliczenie wartości funkcji, tzn. funkcja reprezentowana przez graf równa jest iloczynowi wszystkich funkcji zwartych w grafie. W powyższym przykładzie chcąc obliczyć wartość funkcji wymnażamy wartości funkcji . Źródło: Probabilistic Modeling and Inference at Scale — Ralf Herbrich (Part 1)

Metoda blisko związana z factor grafami to “generalized distributive law” oparta na właściwościach “junction trees” (Factor graphs and the sum-product algorithm).

Model graficzny może być reprezentowany przez factor graf. Wtedy wierzchołki-kółka to zmienne losowe, a wierzchołki-kwadraty to factory (funkcje). Źródło: CS 228 - Probabilistic Graphical Models