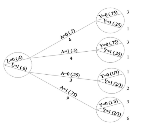
Załóżmy, że mamy scenariusz opisany w Conditionally randomized experiment, tj. dzielimy pacjentów na dwie grupy ze względu na ich stan (L), a potem w każdej grupie robimy Randomized experiment (A), w jednej grupie jest podział 50%/50%, a w drugiej 25%/75%. Zauważmy, że możemy się zastanowić czy możemy rozszerzyć ścieżkę L=0 A=0, tj. możemy się zastanowić jaki jest counterfactual outcome . Otóż gdyby wszyscy pacjenci z L=0 byli untreatment, to z proporcji wynika, że Y=0 byłoby 6, a Y=1 byłoby 2. Analogicznie w pozostałych przypadkach. W ten sposób możemy zważyć każdą ścieżkę i wyciągnąć wniosek nt. average causal effect.

Źródło: What If - Causal Inference (rozdział 2.4)